아래 댓글에서 Spatz님이 언급했는데, 아마 많은 분들이 읽어보신 책일 것. 불평등을 연구하는 모든 사회학자들이 읽어야 하는 책이라고 생각.
예전에 한국의 주요 당면 문제로 1위가 노인 빈곤, 2위가 여성, 3위가 노동시장 불평등, 4위를 청년문제로 꼽은 적이 있다. 지금도 이 생각에 변화가 없다.
불평등에 대한 통계를 분석해보면 가장 문제가 심각하게 드러나는 집단이 노인층이다. 노인층이라면 60대 중반을 넘긴 집단을 생각하기 쉽다. 하지만 고연층 빈곤 문제는 50대 후반서부터 심각하게 나타난다.
대기업 이사 등 소득이 높은 노동시장 상층의 상당수가 50대 후반이지만, 동시에 노동시장 하층에서도 가장 소득이 낮은 집단이 50대 후반이다. 60대가 되면 노동시장에서 탈락하는 비중이 높아진다.
50대 후반, 60대 초반의 저소득 문제가 심각한 이유는 이들 집단은 65세부터 지급되는 각종 사회 혜택에서 제외되어 있고, 임계장 이야기에서 나오듯 부양가족이 있는 경우도 많기 때문이다. 대다수의 청년층은 가족자원을 동원할 여지라도 있지만, 50대 후반 이상의 소득하층은 그런 자원도 없다.
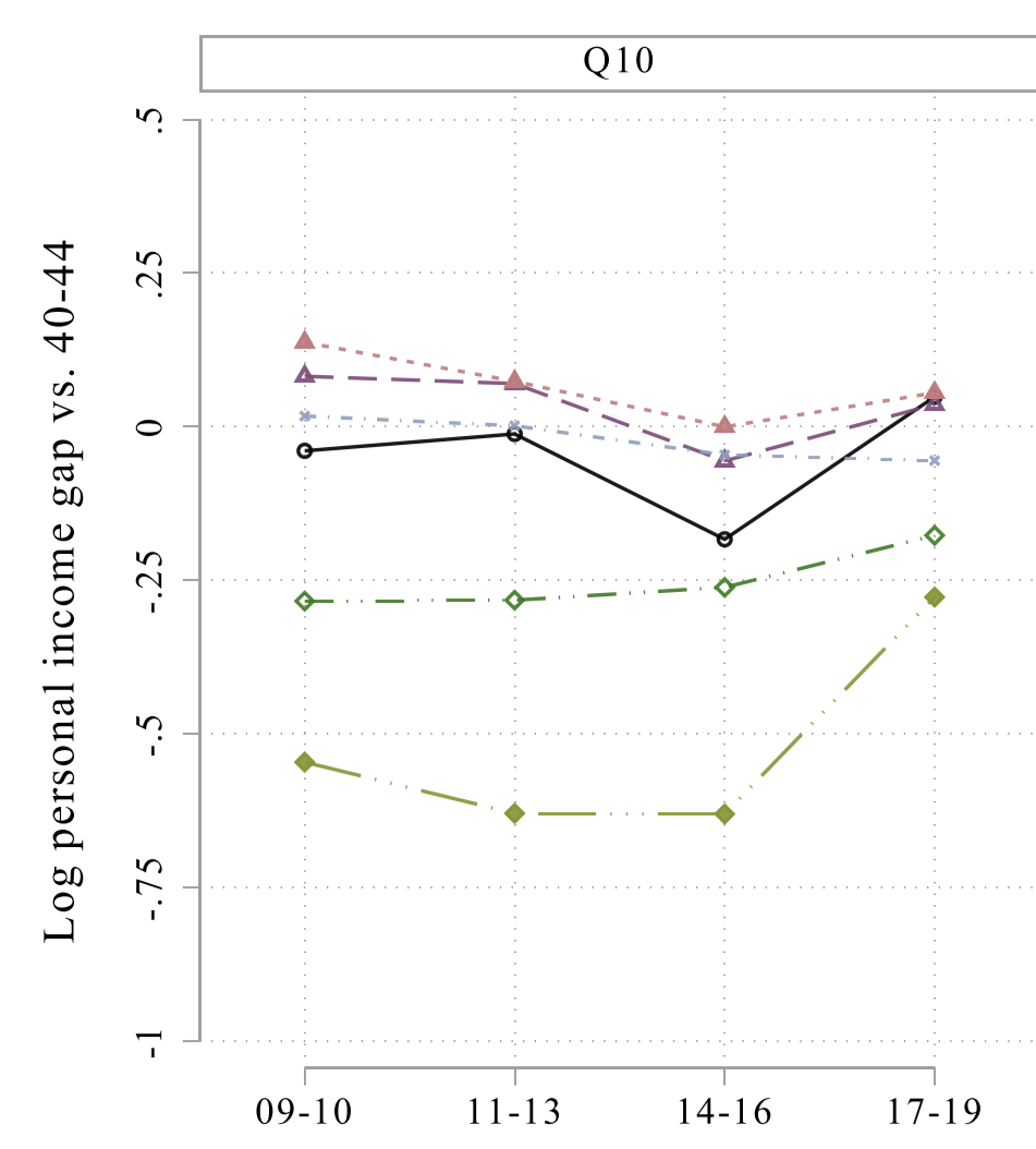
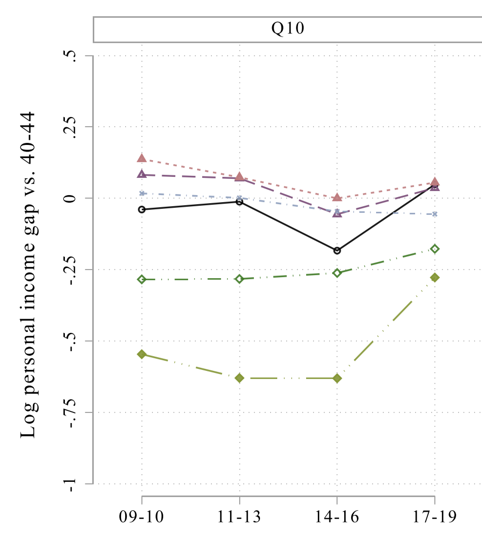
아래 그래프는 25-59세 핵심노동인구의 각 연령집단별로 소득 하위 10% 경계선의 소득을 40-44세의 소득과 비교한 것이다. 가계동향조사 원자료를 분석한 것. X축은 연도고, Y축은 40-44세와의 로그 소득 격차. 푸른색 선이 각각 50-54세(밑에서 두 번째)와 55-59세(가장 밑의 선)의 상대적 소득이다. 25-29세는 검은색 선이다. 나머지는 30대, 40대 후반이다. 성, 가구구성, 가구주와의 관계는 통제했지만, 교육 효과를 통제하지 않은 그래프.
보다시피 소득하층끼리 비교하면 50대의 소득이 가장 낮고, 다른 집단의 차이는 크지 않다. 25-49세까지는 소득 하층이라도 연령집단 간 차이가 크지 않다. 이에 반해 50대가 되면 소득이 독보적으로 저하된다.
한국은 고연령층에게 조기 은퇴를 강요하는 경향이 있고, 조기 은퇴한 고연령층이 재취업할 수 있는 노동시장은 매우 협소하다. <임계장 이야기>를 쓴 조정진 선생은 공기업에서 38년간 근무했기 때문에, 60세까지 일할 수 있었고, 다른 고연령층 노동자에 비해서 자가 주택을 소유하는 등 아이러니하게도 상황이 극악한 케이스는 아니다. 통계로 나타난 현실은 이 보다 더 나쁜 경우가 많다.

이 집단의 문제를 복지로 해결할 수 있는 것도 아니다. 노동능력이 있는 50대 후반~60대 초반에게 복지지원금을 주는걸 찬성하는 비율이 얼마나 되겠는가. 기준중위소득을 올려서 극히 일부라도 최저임금으로 벌어들이는 소득보다 높은 경우가 생기면 난리가 날 것이다. 그렇게 악착같이 일해서 월 140만원을 버는 <임계장 이야기>가 복지를 공격하는 수단으로 전환되는 그로테스크한 장면이 펼쳐질 것.
은퇴를 늦추고, 고연령층 노동시장을 확대하고, 최저임금을 점진적으로 올리는 것 등으로 대응하는 수 밖에 없다.
빈곤과 생애소득의 변동성에 대한 사회학적 연구도 필요하다. 50대 이후 60대 중반까지의 노동시장 지위 변동성에 대한 연구도 필요하고. 소득 상위 1%가 아니라 소득 하위 10%로 연구 초점을 전환할 필요가 있다.


