김창환, 김태호 (2020, 한국사회학) 세대 불평등은 증가하였는가?
==========
초간단 요약:
0. 결론: 증가하지 않았다.
1. 세대불평등이 증가했다는 최근 연구는 고령인구의 구성 효과, 그 중에서도 저학력 고령인구의 구성 효과 때문에 발생한 착시다. 달리 말해, 저소득 고연령층 인구의 증가 때문에 세대 불평등이 커진 것처럼 보인다. 정작 고연령층의 평균소득과 핵심노동인구의 평균소득 격차는 감소했고, 청년층과 장년층의 소득 격차도 커지지 않았다.
2. 일반적인 소득불평등 요소 분해는 평균 소득 격차라는 세대 간 불평등의 순효과와 세대별 인구 숫자의 변화에 따른 분포효과를 구분하지 못한다. 이 연구에서는 이전 연구와 달리 연령, 교육, 성별, 가구구성 등 소득 불평등에 영향을 끼치는 각 요소의 기여도를 분포효과와 순효과로 세부 분해하였다.
3. 이전 연구의 또 다른 한계는 세대불평등을 개인 소득이 아닌 가구소득으로 파악한 것이다. 예를 들어, 20대가 50대 가구주와 같이 살면, 50대의 소득은 과대 평가, 반면 독립가구를 이룬 20대는 저학력층이 많기 때문에 과소 평가하는 오류발생한다. 이 같은 문제를 극복하기 위해 이 연구는 가계동향조사의 가구소득을 통계적 기법으로 개인소득으로 전환하였다.
4. 세대 불평등이 증가하지 않았다는 이 결과는 <가계동향조사>, <가계금융복지조사>, <노동패널> 3가지 데이터로 교차 검증하였다. 세 자료 분석이 모두 동일한 결론: 세대 불평등은 증가하지 않았다.
==========
모든 사회적 변화는 세대 변화를 동반한다. 당연하지 않은가, 사회적 변화는 시간의 변화와 같이 발생하고, 세월이 흐르면 새로운 세대가 등장하는게 인구학적 필연이다. 이 때문에 소득 불평등을 포함한 사회적 변화를 세대론으로 설명할 경우, 유사 관계의 오류를 범하기 쉽다. 연령-시기-코호트(Age-Period-Cohort)라는 APC 분석법의 시초가 된 Ryder는 그의 American Sociological Review 논문에서 인과 관계 분석없이 시대적 변화를 세대론에 의존해 설명하는 방법을 "세대주의자의 오류"라고 칭했다.
세대주의자의 오류를 피하기 위해서는 인과론적 설명이 필수다. 그런데 한국의 세대론은 인과론적 설명이 없거나, 있어도 검증이 불가능한 논리다.
그래서 이 논문은 세대론으로 불평등 변화를 설명하는 논리의 전제조건을 검증한다. 불평등을 설명하는 연령효과가 지속적으로 상승했는지, 전체 불평등 변화의 상당부분을 연령효과가 설명하는지 엄격한 방법론으로 추정하였다.
방법론적으로 한국의 세대론은 크게 두 가지 문제가 있다.
하나는 연령 외에 다른 변수를 통제하지 않았다. 한국은 연령대별로 교육 수준의 격차가 매우 크다. 게다가 한국에서 21세기들어 대학 교육을 받은 노동 인구가 폭증한다. 청년층만 그런게 아니라 장년층도 마찬가지다. 여성 노동인구도 늘었고, 고연령층의 비중도 상승하였다. 이 모든 변화가 불평등에 끼치는 연령 효과와 상관관계가 있다. 다른 변수를 통제하지 않고 연령효과를 측정하면 실제 연령효과인지 교육과 같은 다른 효과가 연령에 투사된 것인지 알기 어렵다.
다른 하나는 세대 불평등을 개인소득이 아니라 가구소득으로 파악하는 문제다. 특히 청년층과 장년층이 같은 가구에 살 때, 가구소득을 사용하면 체계적인 편향이 발생한다. 위에서도 언급했듯, 20대와 50대가 같은 집에서 살면, 50대가 가구주이기 때문에 전체 소득이 50대의 소득으로 잡힌다. 20대는 데이터에서 아예 누락하고. 20대는 독립가구를 형성한 경우만 소득이 잡히는데, 독립가구를 형성한 평균적으로 20대는 학력이 낮거나, 지원을 해주기 어려운 부모를 둔 경우 등 부정적 선택편향이 있다. 20대 후반에서 대졸 이상 학력자는 가구주나 배우자인 비율이 26% 밖에 안되는데, 고졸은 그 비율이 50%에 달한다. 가구주 대상으로 분석하면 20대 후반은 체계적으로 소득이 낮은 사람이 과대 대표된다.
더욱이 20대와 30대 초반의 청년층이 독립가구를 형성하는 비율이 21세기에 급락하였기에 가구소득으로 세대불평등을 측정하는 문제는 갈수록 심해진다. 대략 20대 후반 노동활동인구의 60%, 30대의 30% 이상이 가구주나 배우자가 아니라 가구원이다. 이 문제는 데이터의 한계 때문이다. 한국에서 개인소득을 파악할 수 있는 국가 공식 자료가 없다. 아니 있는데 정부에서 공개하지 않는다.
이 연구는 이 두 가지 문제점을 통계적 방법론으로 극복한 후, 세대 불평등의 순효과(= 연령 간 평균소득 격차)가 지난 20년간 증가했는지 추정하였다. 가구원의 소득은 가계동향조사에서 정확히 조사하지 않는다. 대신 전체 기타가구원의 소득을 조사한다. 이를 이용해서 노동시장에 들어와 있는 기타 가구원이 1명이면 전체 기타가구원 소득을 모두 그 1명의 소득으로 간주하고, 기타 가구원이 2명 이상이면 연령, 성, 직업을 이용한 회귀분석으로 기대 소득을 추정한 후 가구원별로 비율에 따라 할당하였다 (자세한 건 논문에).
그랬더니 결과가 다음과 같다.
아래 <Figure 2>에서 20-79세로 보면 기존 연구와 마찬가지로 세대 간 불평등이 늘어나는 것처럼 보인다. 하지만, 분석 대상을 25-59세의 핵심노동인구로 제한하면 세대 불평등은 완전히 사라진다. 그래프에서 맨 아래 푸른색이 연령 간 소득격차로 측정한 세대 간 불평등이고, 주황색이 세대 내 불평등, 보라색이 양자를 합친 전체 불평등이다.
여기서 HIES-A, B, C, D는 각각 가계동향조사 자료를 세대주만(B), 세대주와 배우자만(A), 전체 인구의 임노동 소득만(C), 전체 인구의 임노동소득+사업소득(D)로 구성한 별도의 데이터셋을 뜻한다. 이 중 D가 인구의 측면에서도 개인 소득의 측면에서도 가장 포괄성이 높은 자료다. 전체 노동 인구를 포괄하는 C와 D는 2009년 이후만 자료가 있다. 가계동향조사는 이전에도 있지만 1999년부터 분석을 시작한 이유는 그 때 부터 배우자 소득을 파악할 수 있기 때문이다.

청년층의 주관심사인, 4년제 대졸자만 따로 보면, 아래와 같다. 심지어 20-79세까지 모두 포함해도 세대 간 불평등은 거의 변화가 없거나, 변화가 있다면 오히려 약간 줄어들었다. 위 <Figure 2>의 20-79세 연령을 포괄한 A, B, C 시리즈에서 세대 불평등이 증가한 결과는 순전히 고졸 이하의 저학력층 때문이다.

그런데, <Figure 2>의 20-79세 전체 인구 분석에서 세대 간 불평등이 늘어난 것처럼 보이는 구체적인 원인을 파악할 필요가 있다. 이를 위해서 세부 변수별 기여도를 각각 계산해 보았다. 연령, 성별, 교육별, 가구주와의 관계별 등의 (1) 순효과와 (2) 구성효과로 통계적으로 세부분해하였다. 순효과는 그룹 간 소득 격차의 효과이고, 구성효과는 그룹별로 세월이 지나면서 분포가 달라지는 효과-예를 들면 고학력층의 %가 늘어나는 효과-다. 그 결과가 아래 그림, <Figure 4>이다. 이 중에서 연령, 성, 교육 효과만 그림으로 표시하였다.
보다시피 세대 불평등은 연령의 분포 효과 때문에 늘었다. <Figure 4>에서 상단은 각 변수의 분포변화 효과이고, 하단은 각 변수의 순효과다. 세대 간 소득 격차가 증가했다면, 연령의 순효과가 증가했어야 한다. 하지만 연령의 순효과는 변화가 없거나 감소했다. 세대 불평등이 증가한 것은 순전히 분포효과, 그러니까 소득이 낮은 연령층의 비율이 증가했기 때문이다. 그리고 이 세대는 청년층이 아니라 60대 이상의 고연령층이다. 그림에서 파란색은 HIES-D 자료(=전체 노동자)고 자주색은 HIES-A 자료(=가구주만)다.
(방법론으로 불평등 연구에 쓰이는 JMP 요소분해법과 Fields 요소분해법을 통합한 Yun(2006, Review of Income and Wealth)요소분해법을 적용하였다.)

지금까지의 결과를 보면, 세대 간 불평등은 증가하지 않았다. 그런데 여기서 새로운 의문이 떠오를 수 있다.
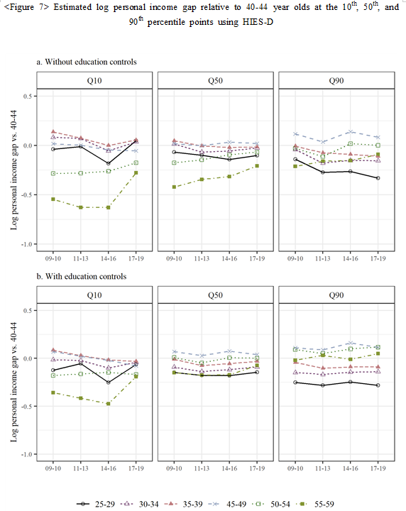
설사 연령 간 평균 소득의 격차로 보면 세대 불평등에 변화가 없을지라도 상층 노동시장에서 86세대의 지배권이 강화되고 청년층의 소득이 악화되었을 가능성이다. 그래서 분위회귀 분석이라는 기법으로 소득 상(Q90)-중(Q50)-하층(Q10)에서의 세대 효과를 분석했다. 아래 <Figure 7>이 그 결과다.
<Figure 7>에서 많은 분들이 교육 효과 통제 이전에 소득 중층과 하층에서 소득이 가장 낮은 연령층은 50대라는 데 놀랄 것이다. 20대가 아니다. 예전에도 몇 번 얘기했지만, 한국은 임계장의 나라다. 평균 은퇴 연령이 50대 초반이고, 정규 노동시장에서 은퇴하면 소득이 급전직하로 떨어진다. 50대의 저소득층은 자신의 낮은 소득이 경쟁에서 뒤처진 자신의 책임이라 생각해서 목소리를 높이지도 않는다. 그러니 이들이 얼마나 가난한지 보이지 않는다. 그나마 청년층은 자신의 가난이 자신의 책임이 아니라 생각하기에 목소리라도 높일 수 있지, 50~60대는 그것도 못한다.
<Figure 7>에서 지난 10년간 50대 후반의 소득이 꾸준히 상승한다. 그런데, 2009년 이후 50대의 소득 상승은 소득상층에서 발생한게 아니고 소득하층에서 발생했다. 노동시장에서 거의 배제되어 소득이 낮던 계층의 소득이 증가했다. 그래서 2008년 이후 한국의 전반적 소득 불평등이 줄었다.
소득상층에서 20대 후반의 상대적 소득은 교육을 통제하기 전에는 낮아지는 것처럼 보이지만, 교육을 통제하면 변화가 없다. 이는 소득상층에서 고졸자의 소득이 대졸자의 소득보다 상대적으로 더 개선되었는데 (그래서 소득불평등이 줄었는데), 20대는 다른 연령대보다 학력수준이 높아서 그 혜택을 덜 받았기 때문이다.

이상이 논문의 가장 중요한 결과이다.
이 외에도 성별 격차가 21세기 초반 소득불평등 증가에 기여했다는 것, 50대 최고소득층은 과거보다 최근에 소득이 더 늘었을 수 있다는 것 등 상당히 많은 다른 내용이 논문에 있지만, 블로그 포스팅이니 여기서 마무리하자. 논문 전문은 위에 링크한 kci에서 다운로드 가능하고, 논문에 실리지 않은 부록표들은 요기서 다운로드할 수 있다.
그래서 결론은?
세대 불평등은 86세대가 50대에 접어든 지난 10여년간 늘어나지 않았을 뿐만 아니라, 단 한 번도 세대 간 소득격차가 한국사회 불평등의 전반적 변화를 견인한 적이 없다. 한국의 전반적 소득불평등은 세대 간 격차가 아니라 세대 내 격차에 의해서 추동되었다. 한국의 소득 불평등의 핵심은 소득 하층의 배제이고, 소득 하층은 메인 노동시장에서 탈락한 50대와 60대가 주를 이룬다. 그래도 굳이 한국에서 소득 불평등의 세대 문제를 짚는다면 예나 지금이나 임계장 내지는 <가난의 문법>에서 얘기했던 윤영자의 문제다.
이러한 결과는 세대 불평등으로 한국 소득불평등의 구조를 파악하려는 기획의 타당성을 의심케 만든다.


